深沪综指历史时间循环周期
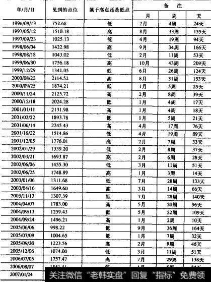
深沪股市自1988年至2007年近19年以来,各显著高低点之间的月、周、天三个时间循环周期收集在一起,旨在提供一份供读者研究深沪股市时间循环周期之用.在此需要说明一点是,表8-1及表8-2还可以变通出各种分析研究需要的时间循环周期。例如,深综指由1996年1月23日至1997年5月3日之间,是为17个月、64周、315天,而自1997年5月13日至1999年5月17日,前后为24个月、102周,490天,这即是把较短的时间循环周期放长,同理反之,在一个较长的时间循环周期,也可以把一个较长的时间循坏周期放短,找出一个较短的,我们需要的时间循环周期,其例子在此就不再一一叙述了。
表8-1深圳综合指胜历史足迹

表8-2上证综合指数历史足迹

表8-3











