短期关键日周期交易
在本章中,你将经历发现周期的过程,并拓展视野,进入全新的股票交易境界。你会发现关于股票周期的大量信息。股票周期交易是一种非常具体的方法,它能够以完全机械的方式使用。这里的“机械”指的是,我将要教给你的周期方法完全适合于本书先前讨论过的CIM和STF策略。
根据我自1968年以来在股票和期货市场上的经验,我知道交易者需要什么、他们如何交易,以及如何向他们提供对短期和长期获利都能够有所帮助的方法。周期方法完全客观,适合于新手和熟练的老手。它实际上能够回答所有交易者提出的关于什么时候买卖、成功率、止损、盈利目标、历史表现等等许多问题。尽管该方法不可能是唯一可用的交易方法,但在我看来,它是最好的一个方法,这是因为它是完全客观的、有组织的方法,非常符合我前面提供给你的分析框架。
不要忽略风险
不论我如何鼓吹周期交易的好处,请都不要忘记,进行持续的风险管理并严守纪律,与仔细研究利跟踪股票一样,都与股票交易获利紧密相关。无论本章将要讨论的周期形态有多么完美,如果不按照全面的风险管理计划限制损失、最大化利润,那么这些周期形态都不可能带来利润。希望你喜欢阅读本章并使用这些周期方法,就象我在写作本章时所体验到的乐趣一样。
最后,提出以下忠告:当心令人误解的周期研究。市场上经常有许多各种各样的周期研究传播者,他们所销售的周期交易方法似乎拥有非常优异的准确率记录。
部分人声称他们的许多周期交易方法准确率为百分之百。他们所说的内容不是在误导你。但是,他们有意忽略了事情的另一面,也就是,这些“令人惊讶”的周期只是五年到十年间的历史研究结果。在本章稍后部分中,你将会看到,这样的时间跨度相对较短,不能作为得出正确结果的可靠依据。因此,基于有限的历史数据得到的周期交易方法不会比掷硬币更好。
周期交易最大的缺点之一就是数据历史较短。即使是我提供的、基于每年价格历史的部分周期,在统计上也不能达到我们所希望的正确性。请不要成为股市作手们过分谊染行为的牺牲品!我向你保证,如果按照这些“伪造”的周期交易,只能是一次又一次地消耗资金。和以前一样,对智者说一句就足够了。最后,请记住,周期交易不会预测未来,它们只是告诉我们过去发生了什么。我们的样本历史数据越多,则周期交易就越可靠。请牢记这一点!
什么是周期
绝大多数市场都是以相对较规则的形态变动。这些形态既存在于金融市场中(比如股票、期货和债券),也存在于经济数据和许多自然现象中。对于绝大多数交易者来说,这些周期性变动通常并不明显,所以没有什么意义。这实在是太不幸了,因为规则和重复正是交易和投资盈利的基础。所有的交易系统、方法和指标都在寻求分离出那些经常重复、足够可靠并且能够盈利的信号或形态。周期和循环是市场规则性之中的最典型因素。如果有读者曾经阅读过我许多本关于这一话题的书,那么他们就应当熟悉每一个市场的基本长期循环。
实际上,所有期货和股票市场都受到天气、季节和作物生长条件的影响。供给和需求受季节波动的影响。当作物丰收时,由于农民的销售行为,价格自然就会下降。当寒冷的冬天中人们对谷物需求上升时,预期价格就会上升。但是,还有许多其它因素会影响到价格。当消费者受到天气影响而买入较多或较少商品时,结果就可能会对公司利润有较大影响,并相应影响其收益及其股票销售价格。当天气较热,用电需求上升时,用于生产电力的燃油消费上升,导致原油价格上升。而上升的原油价格又会影响石油生产商、炼油厂和相关原油设备供应商的收益。相应地,也会影响到它们的股票价格。当飓风在所经地区造成巨大破坏,摧毁房屋、大楼和其它财产时,对于建筑原材料的需求就会上升,进而可能推动这些公司收益上升。还有许多其它各种可能。
当然,所有这些为人所知的因素都可能会影响到对未来价格预测的正确性。我们识别和利用所有这些价格变量的能力是受到限制的,因而,我们的预测能力也有限。只要周期因素影响到价格,那么,就有可能(或者应当能)确定给定市场(股票)的上下周期波动。
进而,周期形态即指给定市场或股票在一年的一定时间内的趋势。我们并不总是能够知道价格周期变动的原因。从我个人的角度来看,我觉得没有必要去了解为什么市场会在一年之中给定的时间段里上下波动。当然,知道了“为什么”市场会如此,能够让某些交易者觉得更加安全。我更注重的并非“为什么”是这样,而是“会怎样”。
也许,关于周期的已知最早记录是公元前16世纪的希腊哲学家泰利斯(Thales)给出的。他根据自已对天文学的理解,能够预测橄榄的丰收。有了这些信息,他就能够在冬季橄榄压榨机便宜时大量买入。等到橄榄丰收,对压榨机的需求大增时,他就能够以很高的价格租出压榨机,赚取大量利润。多年以来,交易者已经在利用各种形式的同期牟利。但是,在利用周期时,仍旧有一些适当问题需要解决,而且还存在着对周期正确性的有力挑战。
江恩在其著作《如何从商品期货交易中获利》(1942)一书中强调了价格周期趋势在商品期货价格中的重要性,并给予这一概念相当大的关注。现在有了计算机技术的辅助,我们已经能够准确而具体地确定商品期货市场和股票市场上许多周期因素。尽管江思最感兴趣的是利用期货市场的周期最高点和最低点,但是周期的概念还可以用于分离出单个股票在具体日期的形态。
股票和期货价格真的周期性变化吗
我认为,股票价格、现货商品价格和期货价格的长期历史有力支持了周期性的存在。例如,我曾经深入研究过现货玉米价格,该价格数据库共有超过276年的价格数据,研究结果完全支持价格呈现周期波动的观点。另外,亚瑟.美林在其著作《华尔街中的价格行为》一书中所做的非常正确的统计工作,也给出了关于股票市场上存在着节日前周期形态的强有力的统计证据,而且,这些周期形态还表现出高度重复性。
除了周期性的统计正确性基础之外,周期研究基金会(FoundaionfortheStudyofCycles)的广泛研究也进一步证实了在股票和期货市场上价格周期趋势的存在。即便是美国政府在计算其许多经济指标时,也要利用“经过周期调整”的数据分离出周期性影响。因而,我们知道,周期行为影响的存在是显而易见的,并且与其它经济变量一样,持续地对价格施加影响。
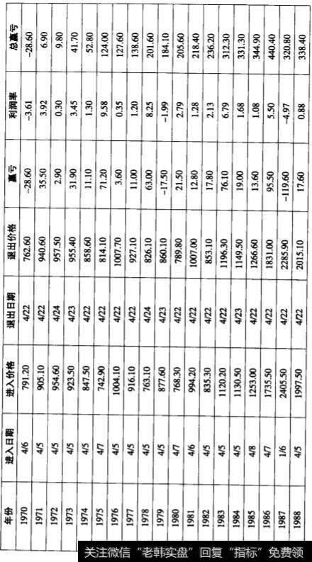
作为周期价格行为的一个实例,考查由道琼斯工业平均指数衡量的股票价格行为,表7.1给出了自1970 年至2004年为止,每年的4月5日和4月25日的指数值。
表7.1道琼斯工业平均指数周期形态(自1970年至2004年为止,每年4月5日和4月25日)

表7.1(接)道琼斯工业平均指数周期形态(自1970年至2004年为止,每年4月5日和4月25日)

该形态表明,自1970 年以来,道琼斯工业平均指数在4月22日左右的收盘价比4月5日的收盘价高出约77%。尽管该形态并非完全符合,但是仍旧是高度可预测的。除了这一高度重现性,该表还显示出,如果进入正确,平均会得到3.1%的利润,失败则平均有2.01%的亏损。这就是关于周期的一个最好实例。 我称之为“关键口”周期。
什么是关键日周期分析
周期的关键日分析是我多年以前针对期货市场研制、并拓展到股票市场上的一种方法。粗略地看一下,股票的关键日周期分析将会告诉你关于给定交易或市场的所有需要了解的信息。关键日周期回答交易者以下几个重要问题:
1.交易什么股票?
2.是买还是卖?
3.进入和退出的准确日期?
4.使用的准确止损是多少?
5.交易的完整历史表现如何?
6.在交易日中,进入和退出交易的正确时间?7.成功的机率如何?
以上重要列表还可包括通过关注一系列定义好的参数来降低亏损次数、降低每次亏损金额等,这些都可以由关键日规则提供。关键日周期交易不要求进行判断。它不依靠任何外部基本面或技术面的信息来源。关键日交易非常具体。按照我的方法,这些交易总是在给定日期收盘时进入,并在给定日期收盘时退出。止损则由进入日期价格百分比确定。
如果在事先推荐的进入(退出)8期股票没有开盘,则你应当在下一个交易日收盘时执行周期交易。
止损
周期股票交易的止损都仅指收盘价。也就是说,如果你持有空头仓位,那么市场必须是收盘价高于计算过的止损位。显而易见,这样一来,你就可能会蒙受超出预期的损失。这一止损规则也适用于多头仓位的情况。仅指收盘价的止损会使得你的仓位产生大于预期的损失。
高度准确的关键日交易
接下来的交易就是高度准确的关键日周期交易。它们是我所发现的最可靠交易方式。请注意按照以下指导方针阅读结果报告。在理想退出日期之前退出的交易应当是根据指示价格退出。周期并不是股票或期货交易的圣杯,它们与其它交易方法一样也会出错。
不过,对于我来说,周期代表了更加稳定和明智的交易方法。这是因为,它们是以已铰好确定、可能会重复的历史趋势为依据。没有什么会比站在历史角度看问题更重要。这也是周期能够为你服务的关键所在。但是,一定要记住,不论周期指示应当开始什么行动,要想让周期方法起作用,你都必须执行有效的风险管理。始终限制亏损。如果未能做到有效的风险管理,那么,你将不得不承受亏损的风险,并可能最终吞噬掉你的全部利润甚至更多的本金。
标准曹尔500指数关键日交易列表
为了给出股票市场高概率短期周期交易的实例,我专门挑选了几个交易例子。请注意以下对于各行标题和统计要素的定义:
合约年份指所表示的期货合约的合同年份。尽管此处使用的是标准普尔500指数期货的交易历史,但是,同样的形态也适用于标准普尔存托凭证(SPY,标准普尔等价物)。从本质上说,道琼斯工业指数和从道琼斯指数中推演出的钻石(DLA,Diamond)股票型基金中也存在着类似形态。
多头或空头。指示出持有多头(买入)或空头(卖出)标准普尔或标准普尔存托凭证。
进入。即指进入相应仓位的日期,是经研究显示的理想进入日期。如果市场在该日未开盘,则将假定进入日期为下一个交易日。
退出。即指退出相应仓位的日期,是经研究显示的理想退出日期。如果市场在该日未开盘,则将假定退出日期为下一个交易日。
止损百分比。该指标指出止损占进入日期收盘价的百分比。正如较早时曾经解释过的那样,止损仅指收盘价或基于收盘价的止损。
盈亏比例。该数字代表全部利润除以全部亏损所得值。该比例越大,则交易方法越好。
盈利1亏损。该数字显示由于交易结果而可能产生的利润或亏损。
汇总。该数字代表该周期交易的累积或连续汇总值。
表7.2是标准普尔市场上非常优秀的周期交易。正如你所看到的,该交易准确率超过90%、平均利润达到了8.24 个标准普尔点数。
尽管数据显示的是标准普尔期货合约的结果,但是,注意到标准普尔存托凭证信托(SPY)是该市场的股票等价物,其波动应当与标准普尔存托凭证相一致。另外,由于该交易属于短期交易,从理论上讲也符合我们作为交易者的目标。该交易以1月13日交易收盘时进入,持有多头仓位,并于1月18日交易收盘时退出。正如所有关键日周期交易一样,整个策略中止损都必须作为其一部分。最后,请记住,这里指示的止损仅指收盘价的止损。也就是说市场必须收盘低于所指示的止损位(进入价格百分比)。
表7.2三月标准普尔指数周期交易(每年1月13日到1月18日)

表7.3是另一个胜算较高的标准普尔市场交易实例。该交易拥有81%的正确率,平均每笔交易利润为11个标准普尔点数。该交易一般于2月26日收盘时买入持仓,并在4月6日收盘时卖出平仓,并在多年一直保持一致的行为,请注意,该交易曾经有一年亏损较大(2001)。另外,在该亏损年份之后,交易赢利性又恢复成较强态势,除了弥补亏损还赚取许多。
另一个较好的标准普尔买入交易方法是,在3月1日收盘时买入持仓,并在3月6日收盘时卖出平仓(见表7.4)。尽管该交易没有其它关键日周期交易准确率高,但是,它的每笔平均利润却较高。最后两年出现了亏损,这通常意味着下一年将会有利可图。
表7.5显示了另一个标准普尔买入交易高赢利概率的实例,该例为在4月14日收盘时买入持仓,并在4月22日收盘时卖出平仓。该交易显示出比较优异的赢利机率,达到了78%的准确率。盈亏比高达9.5,即总收益是总亏损的9倍多。从汇总数字来看,该交易仍旧保持强劲的利润增长(右边最后一列)。
表7.6也是一个短期交易高赢利概率的实例,达到了78%的准确率。按照标准普尔指数来看,该成绩相当令人满意。而且,亏损年份的亏损数量也处在可以承受的范围内。
表7.7是另一个标准普尔短期交易赢利的实例,在7月10日收盘时买人持仓,并在7月15日收盘时卖出平仓。该交易近几年表现非常好,不过,尽管该交易准确率相当高且每笔平均利润也较多,但是;它并未如我所希望那样保持一致的盈利。
表7.8给出另一实例,在进行标准普尔期货交易时,于8月15日收盘时买入持仓,并在8月25日收盘时卖出平仓,并获得81%赢利机会。该交易表现非常好,一直盈利且平均利润超过9个标准普尔点数。
表7.3三月标准普尔指数周期交易(每年2月26日到4月6日)

表7.4三月标准普尔指数周期交易(每年3月1日到1月6日)

表7.5六月标准普尔指数周期交易(每年2月26日到4月6日)

表7.6六月标准普尔指数周期交易(每年6月1日到6月6日)

表7.7九月标准普尔指数周期交易(每年7月10日到7月15日)

表7.8九月标准普尔指数周期交易(每年8月15日到8月25日)

表7.9简直就是终极标准普尔交易的实例!该交易准确率竞然达到95% ,平均每笔交易利润也超过了154 个标准普尔点数,而且,该交易还有许多其它值得称道的地方。盈亏比超过200:1,这种标准普尔期货交易赢利次数令人惊讶。在此交易之前是较大周期的下降阶段,相比之下,这一买入交易可是极具诱惑力的!只是让我一直困惑的是,过去多年中我曾经教给许多交易者该交易方法,但是交易者们却总是以各种理由认为下一年不会再发生这种交易赢利机会。然而,该交易方法仍旧持续稳定地赢利。我相信在这些年份中可能会有某年出现亏损,但是至少到目前为止,该交易方法还是表现出一流的成绩。
表7.10是另一令人惊奇的实例,于12月20日买入持仓,并在1月7日收盘时卖出平仓。该极好的交易平均利润超过26个标准普尔点数,准确率超过85% ,并有部分年份盈利惊人。而且,该种交易方法盈利成绩变动比较一致,给人以深刻生动的印象。该交易更可能反映出了许多分析师和预测者们称道的“年终反弹”。
单个股票和指数的关键 日周期交易
现在,我们已经考查了一些关键日期、短期、高成功率的标准普尔指数周期交易实例,我们再来看看一些具有较长历史的股票类似交易情况(表7.11至7.24)。给出这些图表,是为了让你不致形成误解,以为本章提到的周期形态只适用于标准普尔指数。鉴于你已经从上文学会如何阅读历史图表,那么,你就不再需要我的提示就可以分析这些图表了。
表7.9十二月标准普尔指数周期交易(每年10月27到11月1日)

表7.10三月标准普尔指数周期交易(每年12月20到1月7日)

表7.11Alco-AA(每年1月22到2月18日)

表7.12可口可乐-KO(每年3月31日到6月6日)

表7.13通用电气-GE(每年5月25日到6月6日)

表7.14微软-MSFT(每年8月31日到2月1日)

纽蒙特产业-NEM(每年9月26日到10月27日)

表7.16宝洁-PG(每年10月26日到12月27日)

为什么交易者很难遵循周期交易方法进行交易
在我使用关键日周期(以及其它类型的周期价格形态)进行交易和研究的多年之中,我不止一次被问到一个问题,就是为什么交易者明知道周期交易具有那么可靠的历史依据,却仍旧很难遵循它。看起来周期交易要远比其它交易方法准确率高,交易者应当更愿意使用.周期交易方法。但是事实却并非如此。这一问题很值得思考并给出有说服力的回答。根据我三十多年的期货与股票从业经验,我觉得应当有以下几个原因:
针对周期存在与否,有大量负面的公开消息。绝大多数对于周期的批评都具有误导性或者基于对周期是什么及周期作用的错误理解之上。任何一个花费时间和精力研究周期的人都会得出结论:从周期交易中可以推导出许多正确的概念和方法。●许多交易者觉得周期过于“显而易见”,因而这种交易方法不大可能是正确的。交易者常常沉湎于这样的错误观念之中,即系统、方法或指标要想帮助交易者赢利,就必须很复杂、难以理解或很神秘。我不认同这些看法。相反,我认为一个系统、方法或指标如果能够根据简单、基础的概念设定,那么它可能会运行地更好。
有太多的交易者未能理解周期是怎么回事。他们认为周期是天气的直接作用结果。然而,无论我们如何努力地试图解释周期不是完全与天气有关,他们也不会明白。当然,如果交易者认为天气是导致周期形态的唯一原因,那么,他们在没有看到明显的天气变化模式时,就不会采取相应行动。
许多交易者不相信象长期国库券、标准普尔指数和货币这样的市场也能够表现出周期形态。这种错误的观念与上一段有关,因为,这些市场的周期并不是天气作用的结果。相反,它们的产生是来自于其它市场行为的基本方面。
也许,关于以上我所提出问题的所有结论之中,最正确的回答仅仅是交易者通常都缺乏足够的训练。不管交易者们是否被要求遵循某个系统、方法、指标、交易计划或是周期,事实上,他们大多都不能把这些方法一直执行到底。交易者们不能遵循任何系统。这样一来,他们不能遵循周期也就不值得惊讶。这是所有交易者的内在缺点。只有很少的交易者能够严守纪律达到成功。周期变成交易者们的一种可遵循也可不遵循的工具,这要看他们的心情而定。我认为,这才是绝大多数交易者很难遵循周期交易的主要原因。
周期的价值观与心理探讨
在结束本章之前,请仔细了解以下关于周期交易的事实和意见。如果要想长时期进行股票或期货交易,那么,你绝不可能认识不到价值观与心理因素是交易系统、方法和指标的重要组成部分。事实上,我敢说市场中的价值观与心理因素可能比任何人所想象的都重要。如果作为一个交易者,你还不承认会受到自己的价值观和心理因素影响的话,那么,你真的是生活在愚人的天堂之中了!我想,更进一步地说,我们所有人都是我们的情绪和感觉的奴隶。问题的实质在于,你所做的每一件事,都打上了 你自己观点的烙印。而你自己的观点则是你自已成长过程逐渐形成,受你的信仰、你的生活、就读学校、儿时所受伤害、所受纪律教育、所学知识、所想、所希望期望、盼望、所梦想和每日的心理冲突影响。
由于篇幅的限制,我不可能在几段话中就对这一重大向题作出充分地评判。但是,我还是能够与大家分享一下我的一些简单想法,讲讲价值观组成和心理观点对于交易的影响好坏。虽然我的评论具体涉及的是周期和周期交易,但是这些评论对所有的交易系统和方法同样适用。以下是在周期交易中值得考虑的一些观点。
必须“相信”周期才能有效利用它们吗?不是的。相信系统或方法与否并不是考虑的关键;但是,认识到一个概念的正确性并对它抱有信心还是有用的。当然,没有必要把这一概念当作信仰那样来相信。如果你已经检验了一个系统的统计有效性以及系统、方法或概念的历史,并相信这一交易历史具有准确性和有效性,那么,你所需做的只是根据历史结果行动。信心是重要的,但它只能是从研究中得出。
不能放开手脚是非常普遍的问题。许多交易者害怕放开手脚。我所指的是一旦开始周期交易,许多交易者害怕交易会“自己,变化”。无论赢、亏还是持平,一旦开始交易则无法反悔。但是却有许多交易者对交易的可能结果表示怀疑。当交易结果向他们所期望的相反方向变动时,他们就害怕亏损;而当交易结果向其期望的方向变动时,他们又害怕他们的利润无法继续保持。到了该止损的时候,他们拒绝承认损失。而到最后应当获利出局时,他们又拒绝退出交易,还希望能有更多的利润。所有这些问题及其相关的困难都是由于缺乏信心、缺乏经验或者缺乏自律导致的心理问题。以上任何一个问题,或者所有问题都可能导致一个优秀的系统变得糟糕。
信息超载也是另一个问题。还有的交易者觉得如果他们获得越多的信息,那么他们就会交易得到更好的结果。我不这么认为。有时候,较少的信息反而更好。过多的信息可能导致你放弃交易计划,尤其是那些缺乏纪律的交易者更是如此。此时,你必须采取这样的价值观,即你的交易系统或方法与其它任何系统一样好。而且,一旦你采取了这种态度,你就更可能关注最有说服力的、最可靠的事情,而忽略其它无关紧要的事。
在周期交易及其概念中,认为历史和现实会重复的观点,对于培养自信心非常有用。如果你在周期中应用历史逻辑,那么你就会很快地认识到其正确性,并值得去努力去实施周期方法。很有意思的是,这种历史的观点在其它市场形态,例如艾略特波浪、江恩角度线等等之中,也是正确的。
没有完善的人际关系或人际互动的交易者常常也表现出不能完善市场中的各种关系。这样的人很难按照计划从头至尾的遵循既有交易方法。
简洁的重要性。许多人觉得复杂的系统很自然地就比简单的系统好。该观点在西方非常普遍,因为西方人都被洗脑,认为如果什么东西是用计算机处理的、复杂的、昂贵的或者基于高科技原理的,那么它就因此会非常有用。事实并不一定是这样。我认为简单的、基础的和可以观察的事实在市场上能起到最好的作用。我建议,如果要做个更好的交易者,那么请拒绝所有难于理解的事情,回归到基础上来。周期是一个简单的概念。它必须以简单的方式应用。











